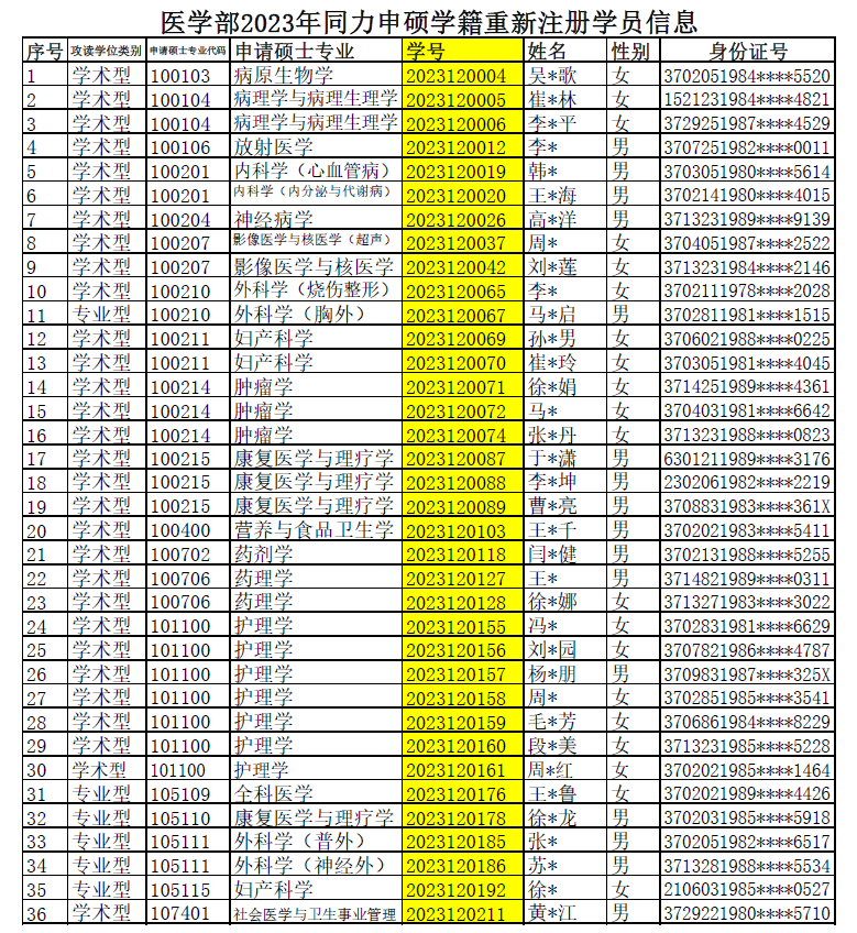
因学籍期满未能完成学位申请工作的同力申硕学员,经本人申请,导师、学科和学院同意重新申请学籍注册,经审核,以下学员完成新申请学籍注册工作,详见下表。
请以下学员将学籍注册材料“青岛大学同等学力人员申请硕士学位学生登记表”(一式三份,按照材料填写要求,完成导师、学科和培养单位签字、盖章及学费发票复印件黏贴,入档材料,请认真填写)于2023年11月3日(周五)前交至医研办,地址:学科建设与研究生培养办公室,青岛大学浩园医学综合楼A座2楼204,青岛市市南区宁德路13号。
医学部学科建设与研究生培养办公室
